Reklamsız kullanım deneyimi için lütfen üye olunuz veya giriş yapınız.
Cohen’ın d’si: etki düzeyleri
| Etki düzey (d) | Yorum |
|---|---|
| 0,2 | Küçük etki düzeyi |
| 0,5 | Orta etki düzeyi |
| 0,8 | Büyük etki düzeyi |


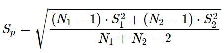
M1 = 1. grubun ortalaması; M2 = 2. grubun ortalaması; Sp = Havuz (pooled) popülasyonunun standart sapması; N1=1.grubun örneklem sayısı; N2=2.grubun örneklem sayısı; S1 = 1.grubun standart sapması; S2= 2.grubun standart sapması; D = Cohen’s d.
Veri setinizin ortalama, medyan ve standart sapma (SS) gibi değerlerini bilmiyorsanız verilerin istatistiksel dağılımını hesaplama sayfamızda, her bir grup için verilerinizi girerek otomatik olarak dağılım analizi yapabilir ve detaylı rapor alabilirsiniz.

